1.Assume you have three equal units that operate together as parallel units. The failure rate of each unit is λ=0.01. The reliability of a single unit for a 10-hour operation is R=e-0.1=0.90484 or ~90%..
How much can we improve the reliability by operating these three units in parallel?
A .0.98885
B. 0.999138
C. .990575
D. 0.99991
The unreliability of a single unit for t=10 hrs is Q=1-R=1-0.90484=0.09516.
The unreliability of the parallel group is Qparallel=Q3=(0.09516)3=0.000862
The reliability of the parallel group of the three units for a 10 Hr operation is:
Rparallel= =1- Qparallel =1-0.000862=0.999138
2. The Reliability of supplying hydraulic pressure to the junction point of the brake system of an aircraft: The engine’s power a hydraulic pump, which supplies to the hydraulic utility system. Each pump supplies the fluid volume and pressure required, so the pumps operate in parallel. First, calculate the Reliability of this system.

A. 0.9912
B. 0.9875
C. 0.9990
D. 0.99957
is the Reliability indicate enough safety for 1000 landings?
(From a Safety standpoint-hmmm.NO~4/10000 failures on landing is NOT Safe)
3. The Reliability in problem 2 was deemed insufficient. So, it was decided to add an auxiliary hydraulic system powered by an electric motor-driven pump. The auxiliary pump could be tied into the Brake junction point, thus increasing Reliability.
Calculate the Reliability of the auxiliary system:

A. 0.9922
B. 0.9933
C. 0.99928
D. 0.9848
Now, calculate the Overall Reliability of the combined Utility & Auxiliary pumps:

A. 0.9999997
B. 0.99987
C. 0.9990
D. 0.999995
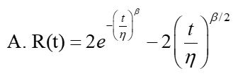
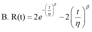
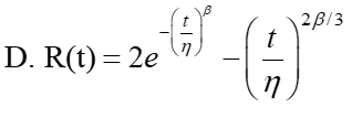
4.Suppose that two identical units are placed in active parallel. Each has a Weibull distribution with known 𝜂 and β > 1. Determine the system reliability.





5. The following numbers of bends to failure were recorded for 20 paper clips: 11, 29, 15, 20, 19, 11, 12, 9, 9, 8, 13, 20, 11, 22, 20, 9, 25, 19, 11, and 10. Identify the best fit distribution.
A. Weibull
B. 3-parameter Weibull
C. 3-parameter Lognormal
D. Log-logistic
6.The tensile strength of a group of shock absorbers is normally distributed with a mean value of 1,000 lb. and a standard deviation of 40 lb. The shock absorbers are proof tested at 950 lb.
If it is decided to increase the strength of the shock absorbers (i.e., to increase the mean strength while leaving the standard deviation unchanged) so that 99% pass the test, what must the new value of the mean strength be?
A. 1043.1 lb
B. 1900.0 lb
C. 1350.0 lb
D. 1050.25 lb

7. The total load on a building may often be represented as the sum of three contributions: the dead load d, from the weight of the structure; the live load 1, from human beings, furniture, and other movable weights; and the wind load w. Suppose that the loads from each of the sources on a support column are represented as normal distributions with the following properties:
Determine the mean and standard deviation of the total load.
A.μ=19.8 kips, σ =1.6 kips
B. μ=19.8 kips, σ =2.724 kips
C. μ=19.8 kips, σ =1.676 kips
D. μ=19.8 kips, σ =7.291 kips


8. Suppose that amplifiers have a constant failure rate of λ = 0.08/month. Suppose that four such amplifiers are tested for 6 months. What is the probability that more than one of them will fail? Assume that when they fail, they are not replaced.
A.0.521
B. 0.652
C..0.353
D. 0.492

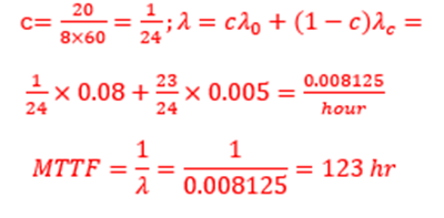
9. Night watchmen carry an industrial flashlight 8 hr per night, 7 nights per week. It is estimated that on the average the flashlight is turned on about 20 min per 8-hr shift[c]. The flashlight is assumed to have a constant failure rate of 0.08/hr while it is turned on and of 0.005/hr when it is turned off but being carried. In working hours, estimate the MTTF of the light.
A. 61.5 hrs
B. 184.5 hrs
C. 123 hrs
D. 246 hrs.

10. An accelerated life test is conducted on 20 ICs(integrated circuits) by subjecting them to 150ͦ°C and recording the failure times,. Assume that the failure data exhibited an exponential distribution with (mean time to failure at stress condition) MTTFS=6000 hours. The normal temperature of the ICs is 30ͦ°C and the Acceleration Factor (AF)=40.
What is the reliability of an IC operating at normal conditions at 10,000 hours?
A.0.9591
B. 0.9853
C. 0.9751
D. 0.9911
