- to have a constant failure rate. What is the failure rate?
A .0.005 per month
B. 0.004 per month
C. 0.01 per month
D. 0.0009 per month
- A one-year guarantee. An electronic device is tested for two months and found to have a reliability of 0.990; the device is also known tee is given based on the assumption that no more than 10% of the items will be returned. Assuming an exponential distribution, what is the maximum failure rate that can be tolerated?
A. 0.091/year
B. 0.0943/year
C. 0.1054/year
D. 0.0231/year

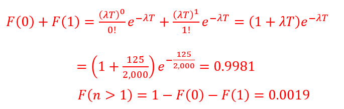
3. A servomechanism has an MTBF of 2000 hr. with a constant failure rate. What is the reliability for a 125- hr mission?
A. 0.939
B. 0.92
C. 0.952
D. 0.965

4. Using 3 above, neglecting repair time, what is the probability that more than one failure will occur during a 125-hr mission?
A. 0.0035
B. 0.0092
C. 0.019
D. 0.0019

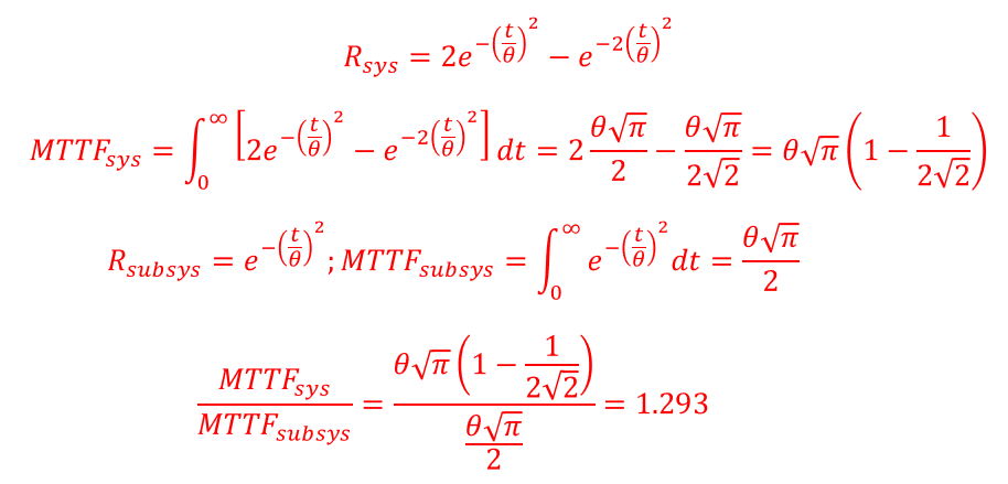
5.Suppose that a system consists of two subsystems in active parallel. The reliability of each subsystem is given by the Rayleigh distribution(Weibull with β=2).

Assuming that common-mode failures may be neglected, determine the system MTTF
A . 1.452
B. 1.293
C. 1.154
D. 1.375

6.Using the table below, calculate the reliability of a switchable attenuator consisting of 15 resistors, 2 connectors, and 1 rotary switch operating for 1000 hours.

A.0.991
B. 0.9975
C. 0.9877
D. 0.999


7. Ten identical devices are tested until failure at times(in hours):
170, 350, 500, 650, 800, 960, 1100, 1300, 1800, 2200
Using whatever software you have, decide what Reliability
distribution seems to represent this data.
A. Weibull
B. Log–Normal
C. Gamma
D. Log-logistic
Hint: use the AD(Anderson-Darling) to decide

- An engineer designs a system consisting of two subsystems in series. The reliabilities are R1 = 0.98 and R2 = 0.94. The cost of the two subsystems is about equal. Which of the following would be better to do?
A.
B.
C.

A . R=0.9937
B. R=0.996
C. R=0.9798
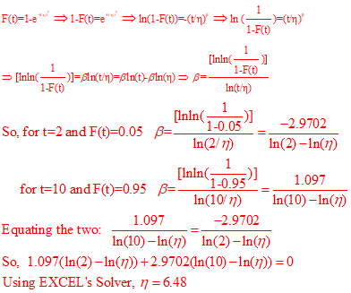
- A designer assumes a 90% probability that a new piece of machinery will fail at some time between 2 years and 10 years..
Fit a Weibull distribution to this belief.
A.β= 2.30 η=6.00
B. β= 2,77 η=5.51
C. β= 2,7 η=6.72
D. β= 2.53, η=6.48


- Using the Weibull in 9. Find the MTTF?
A. 5.75yrs
B. 5.05 yrs
C. 7.54 yrs
D. 4.55 yrs
